韓國女團gu9udan於2016年6月出道,不過今日事務所方面就突然宣佈gu9udan將於明日正式結束組合活動,消息震驚fans。
gu9udan所屬的Jellyfish娛樂今日表示:「女團gu9udan將於12月31日結束正式的組合活動,雖然結束組合活動,但是公司為了成員在音樂、演戲等個人活動上,將盡最大的努力,全力支持。」
gu9udan的金世正曾參加人氣選秀節目《PRODUCE 101》,並獲得第二名,之後以限定女團I.O.I身份出道,除了唱歌外,她亦有演出綜藝節目,近日因為孖趙炳圭主演劇集《驅魔麵館》而人氣再次上升。對於gu9udan解散,金世正就暫未作出回應,不過連日來她亦有於IG公開拍攝《驅魔麵館》的花絮照,透露正忙於拍攝第一季的結局篇。而金世正早前受訪時透露,拍攝《驅魔麵館》令她重拾自信,外界估計她之後會向演員方向發展。
另外,gu9udan的中國成員Sally(劉些寧),早前回大陸發展並參加大陸節目《創造營2020》,成為期間限定組合硬糖少女303成員。
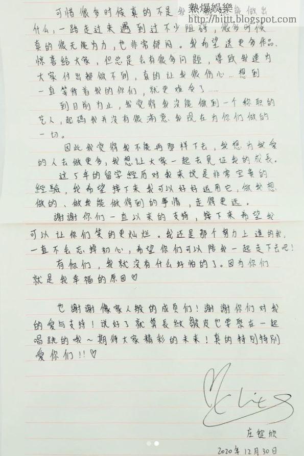
而韓國女團CLC的香港成員莊錠欣(Elkie)於2016年加入組合,不過上周五就突然爆出她跟韓國CUBE事務所解約的消息。當時由微博方面傳來其解約的消息,同時網上亦曝光了由大陸的律師發出的律師信,解約的消息傳開後,香港網民都好奇她是打算「回國」抑或「回港」發展。今日Elkie終於蒲頭更新IG,公開分別用簡體字、英文及韓文寫的親筆信,交代解約一事,提到過去數年遇到不少阻礙,希望之後可以做想做的事及走得更遠。
親筆信公開後立即引起網民熱議,認為身為香港人的她,用簡體字寫信,早已「表明立場」,留言「即去大陸發展」、「愛國的Elkie了」、「心已死」、「是寫給人民幣的信」等。
-----------------------------
《蘋果》英文版免費試睇:了解更多
英文版已登錄《蘋果》App,立即下載/ 更新:iOS/Android
-----------------------------
支持蘋果深度報道,深入社區,踢爆權貴,即Like蘋果專題及調查組FB專頁!
來源 source: http://hk.appledaily.com
|
鍾意就快D Share啦!
|
|
|


